• Предмет: Алгебра
  • Автор: AlteRRu
  • Вопрос задан 8 лет назад

Помогите:
1) 4(3-x)=50+3(x+2)
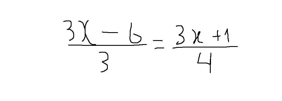
2) Ниже

Приложения:

Ответы

Ответ дал: agadsgasdg
0

1) 12-4x=50+3x+6

-4x-3x=56-12

-7x=44

x= -44/7 = 6 целых 2/7

2) 12x-24=9x+1

12x-9x=1+24

3x=25

x= 25/3 = 8 целых 1/3

Вас заинтересует