• Предмет: Алгебра
  • Автор: Yana112233445566
  • Вопрос задан 8 лет назад

СРОЧНО ПОМОГИТЕ
1.
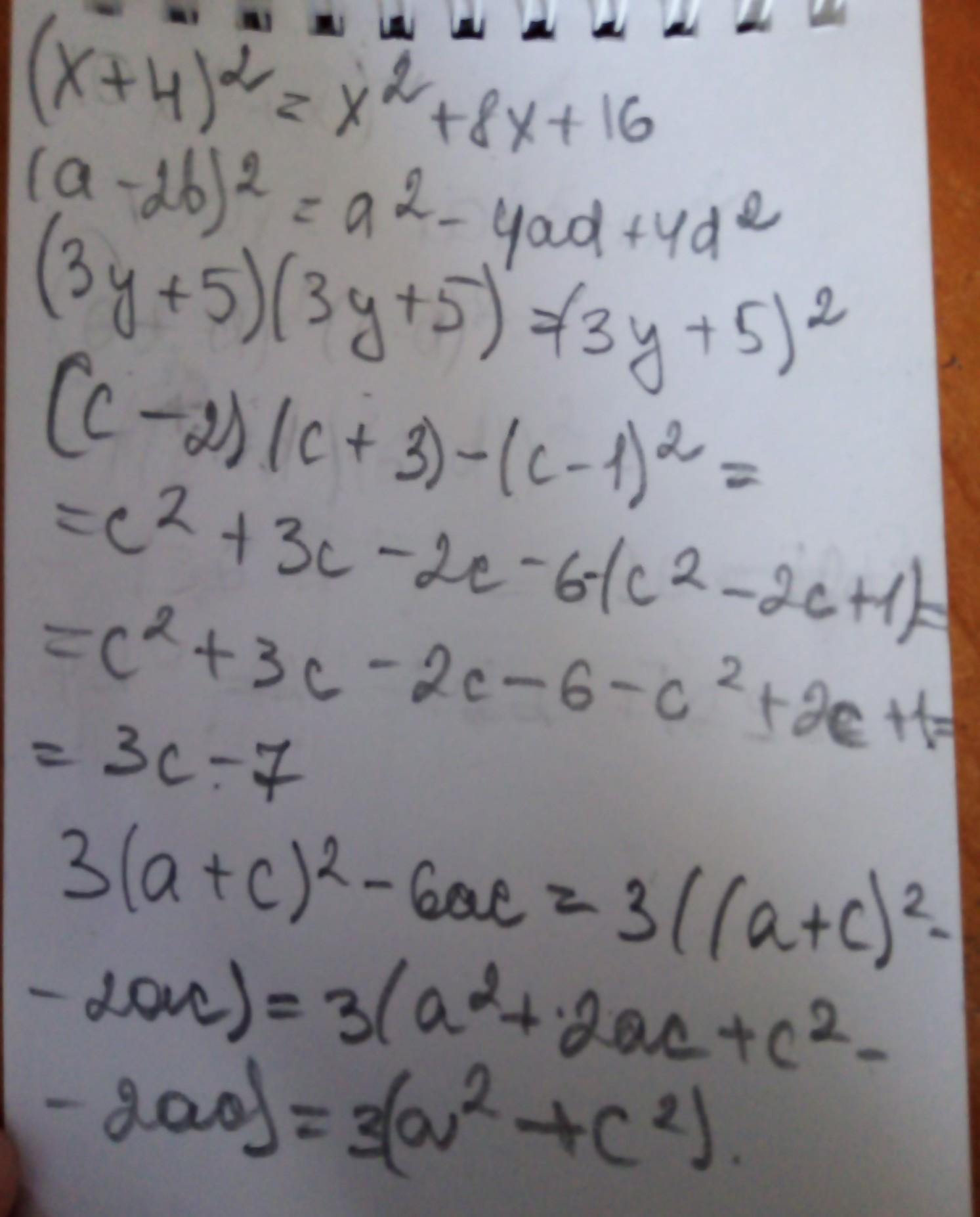
1)(x+4)^2
2)(a-2b)^2
3)(3y+5)(3y-5)

2.
1)(c-2)(c+3)-(c-1)^2
2)3(a+c)^2-6ac

3.
1)16a^2-9
2)3x^3-75x
3)2x^2+4xy+2y^2

4.
(6x-x^2)^2+x^2(x-1)(x+1)+6x(3+2^2)

Ответы

Ответ дал: levnik200203065
0

Пошаговое объяснение....

Приложения:
Вас заинтересует