Ответы
Ответ дал:
0
Ответ:
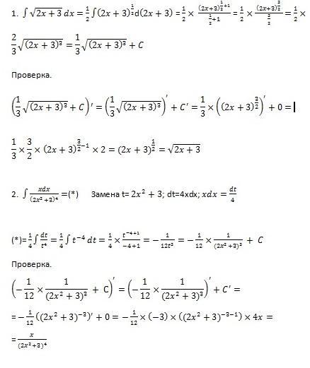
Пошаговое объяснение: Решение в файле
Приложения:

Вас заинтересует
2 года назад
2 года назад
3 года назад
3 года назад
9 лет назад