Ответы
Ответ дал:
0
Ответ дал:
0
через какой калькулятор набирали, скиньте пожалуйста)
Ответ дал:
0
это не подробныц ответ, ну да ладно
Ответ дал:
0
редактор формул LaTex , встроен здесь на сайте
Ответ дал:
0
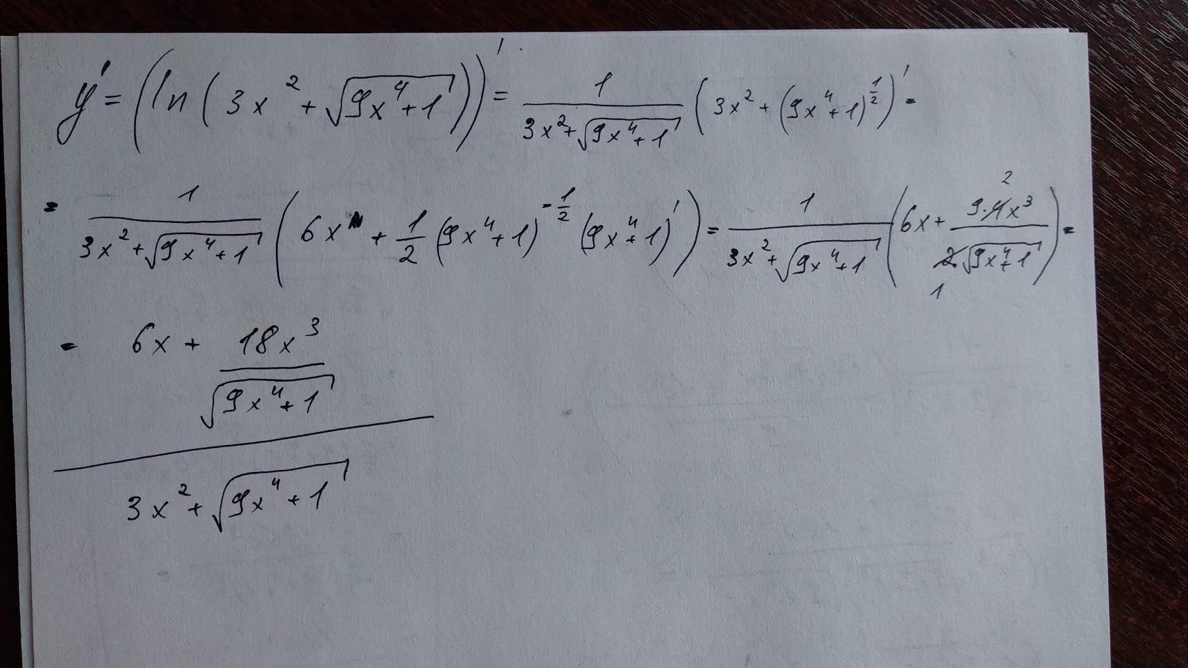
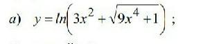
Ответ:
Конечное можно упростить, избавившись от трехэтажной дроби.
Пошаговое объяснение:
Аргумент натурального логарифма - сложный. Поэтому примеряем правило для такого случая. Сначала берем производную натурального логарифма не трогая аргумент. А затем умножаем на производную самого аргумента.
Приложения:

Ответ дал:
0
не подпишите ваши действия?
Ответ дал:
0
а трехэтажная дробь так и останется у вас, да?
Ответ дал:
0
Задание в нахождении производной. Упрощение не просят. Но если нужно.. Можно помучить черновик.
Ответ дал:
0
Держите сокращение: https://znanija.com/task/31910705
Ответ дал:
0
спасибо большое
Вас заинтересует
2 года назад
2 года назад
3 года назад
3 года назад
8 лет назад
9 лет назад