• Предмет: Математика
  • Автор: vasilisa9188
  • Вопрос задан 8 лет назад

Срочно,помогите пожалуйста!!!!!

Приложения:

Ответы

Ответ дал: parus77
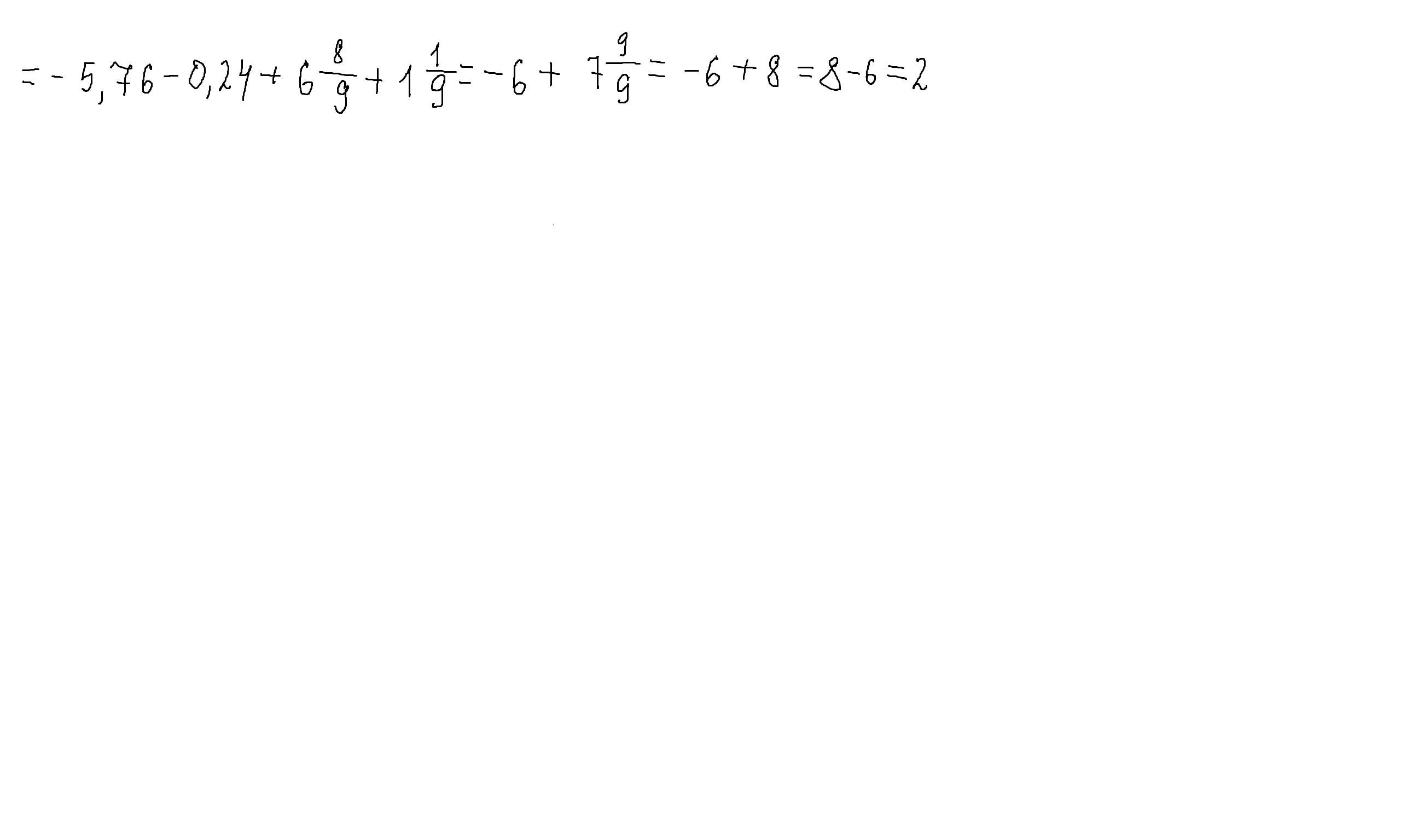
0

Ответ:

2

Пошаговое объяснение:

решение смотри внизу

Приложения:
Ответ дал: vasilisa9188
0
Помогите мне пожалуйста с моим последним вопросом
Ответ дал: vasilisa9188
0
он есть в профиле
Ответ дал: vasilisa9188
0
Поможете?
Вас заинтересует