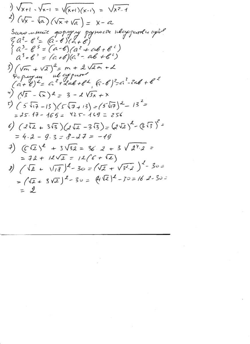
1) (корень из х + 1)(корень из х - 1)
2) (корень из х - корень из а)(корень из х + корень из а)
3) (корень из m + корень из 2)^2
4) (корень из 3 - корень из х )^2
5) (5 корень из 7 - 13 )(5 корень из 7 + 13)
6) (2 корень из 2 + 3 корень из 3 )(2 корень из 2 - 3 корень из 3 )
7) (6 корень из 2) ^2 + 3 корень из 32
8) (корень из 2 + корень из 18)^2-30
Ответы
Ответ дал:
0
посмотрите в приложении
выучите формулы квадратов и разности квадратов
выучите формулы квадратов и разности квадратов
Приложения:
Вас заинтересует
3 года назад
3 года назад
8 лет назад
11 лет назад
11 лет назад
11 лет назад