Доведіть, що при всіх значеннях змінних є правильною нерівність:
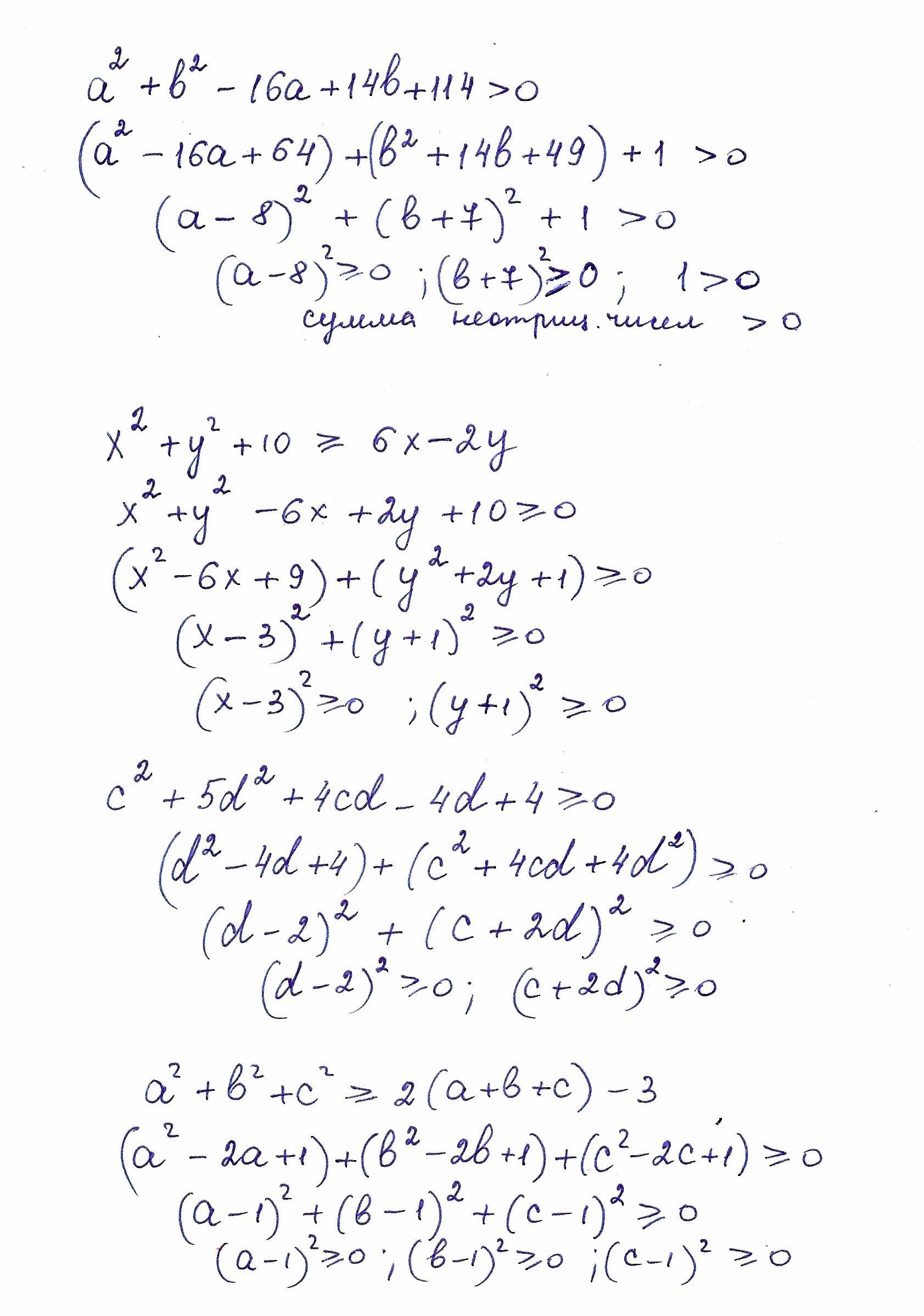
a*2+b*2-16a+14b+114>0
x*2+y*2+10>=6x-2y
c*2+5d*2+4cd-4d+4>=0
a*2+b*2+c*2>= 2(a+b+c)-3
Ответы
ответ на фото\\\\\\\\\\\\\\\\\\\\\\\\\\\\\\

а² + в² - 16а + 14в + 114 > 0,
(раскладываем 114 на сумму 64+49+1 = 8²+7²+1),
(а² - 16а + 64) + (в² + 14в + 49) + 1 > 0,
(а - 8)² + (в + 7)² + 1 > 0,
(а - 8)² ≥, (в + 7)² ≥ 0, 1 > 0,
так как квадрат любого числа всегда больше нуля, то:
значение выражения будет больше нуля,
х² + у² + 10 ≥ 6х - 2у,
х² + у² + 10 - 6х + 2у ≥ 0,
(раскладываем 10 на сумму 9 + 1 = 3²+1²),
(х² - 6х + 9) + (у² + 2у + 1) ≥ 0,
(х - 3)² + (у + 1)² ≥ 0,
(х - 3)² ≥ 0, (у + 1)² ≥ 0,
так как квадрат числа всегда больше, либо равен нулю, то значение выражения будет больше, либо равно нулю,
с² + 5d² + 4сd - 4d + 4 ≥ 0,
(раскладываем 5d² на сумму 4d²+d²),
(с² + 4сd + 4d²) + (d² - 4d + 4) ≥ 0,
(с + 2d)² + (d - 2)² ≥ 0,
(с + 2d)² ≥ 0, (d - 2)² ≥ 0,
так как квадрат числа всегда больше, либо равен нулю, то значение выражения будет больше, либо равно нулю,
а² + в² + с² ≥ 2*(а + в + с) - 3,
а² + в² + с² - 2*(а + в + с) + 3 ≥ 0,
а² + в² + с² - 2а - 2в - 3с + 3 ≥ 0,
(раскладываеи 3 как сумму 1 + 1 + 1 = 1² + 1² + 1²)
(а² - 2а + 1) + (в² - 2в + 1) + (с² - 2с + 1) ≥ ,
(а - 1)² + (в - 1)² + (с - 1)² ≥ 0,
(а - 1)² ≥ 0, (в - 1)² ≥ 0, (с - 1)² ≥ 0,
так как квадрат числа всегда больше, либо равен нулю, то значение выражения будет больше, либо равно нулю
