• Предмет: Алгебра
  • Автор: Hunta123
  • Вопрос задан 8 лет назад

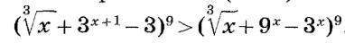
Решите неравенство, задание во вложении !

Приложения:

Ответы

Ответ дал: mmb1
0

ух сколько ненужных лишних накруток

снимает нечетные степени , совершенно очевидно, что если число больше  другого, то и в 9-й степени они будут также соотносится

∛x + 3^(x+1) - 3 > ∛x + 9^x - 3^x

∛x взаимно уничтожатся , никаких ограничений на корни нечетной степени неи надо (на четной надо)

9^x = (3^x)^2

3^x=t

3t - 3 > t^2 - t

t^2 - 4t + 3 < 0

D = 16-12 = 4

t12=(4+-2)/2 = 1    3

(t-1)(t-3) < 0

метод интервалов

+++++++(1) -------------- (3) ++++++++

t∈(1 3)

t>1 3^x>1  3^x>3^0  x>0

t<3    3^x < 3  x < 1

x∈(0, 1)

Вас заинтересует