• Предмет: Геометрия
  • Автор: dasha23ryio09
  • Вопрос задан 8 лет назад

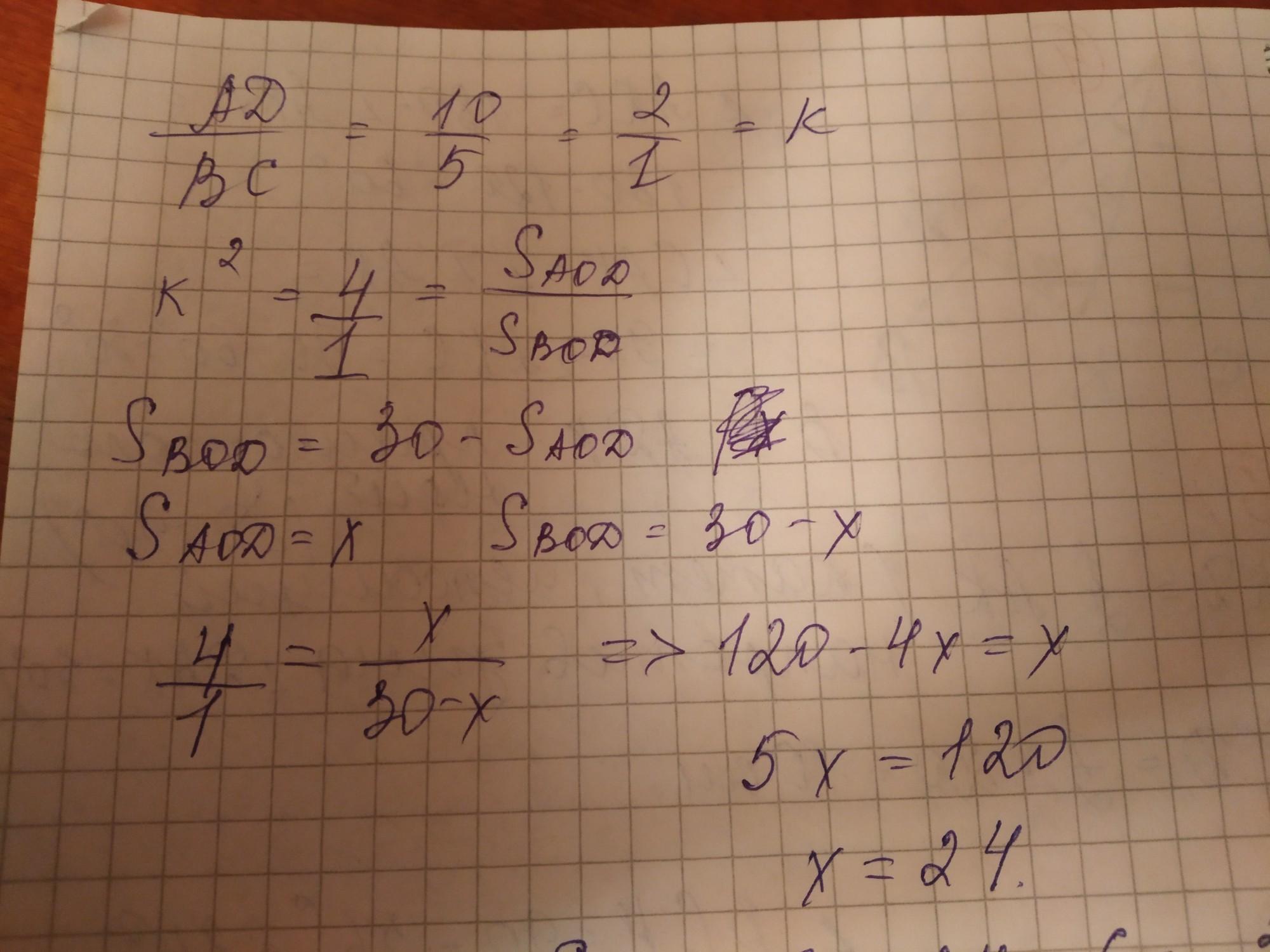
ABCD трапеция основания AD=19см. BC=5см. Sboc+Saob= 30см2. Найдите площадь треугольника AOD. ​

Приложения:

Ответы

Ответ дал: michindjeva
0

решение задачи смотри на фото

Приложения:
Ответ дал: dasha23ryio09
0
а что ниже чем x=24?
Ответ дал: dasha23ryio09
0
мне нужно ещё один тест решить зайди через 2 минуты ещё задания появятся
Вас заинтересует