• Предмет: Математика
  • Автор: dinah62
  • Вопрос задан 8 лет назад

Найти производную! Помогите пожалуйста.​

Приложения:

Ответы

Ответ дал: 0vvl
0

Ответ:

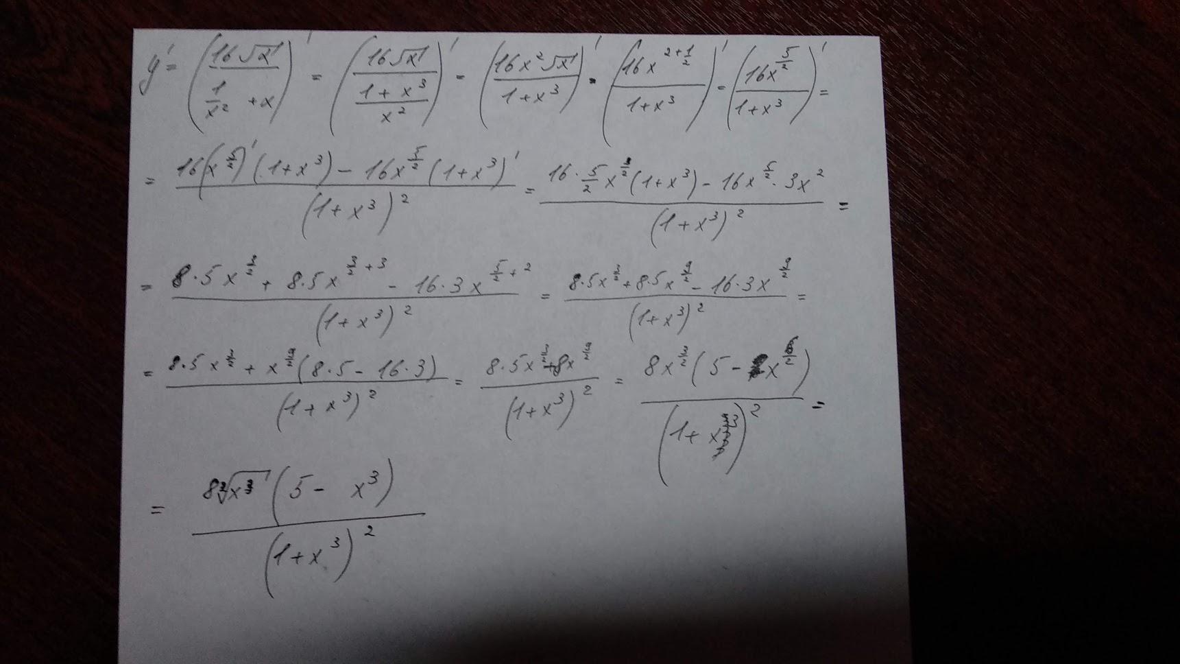
frac{8sqrt{x^3}(5-x^3) }{(1+x^3)^2}

Пошаговое объяснение:

Получилось с опечатками. Если что-то не понятно, спрашивайте.

Приложения:
Ответ дал: dinah62
0
хорошо, спасибо большое) Вы по формулам считали?
Ответ дал: 0vvl
0
Сначала общий знаменатель в "знаменателе" общей дроби. Потом избавляемся от трех этажей. И применяем правило дифференцирования для деления. Под конец упрощения.
Ответ дал: dinah62
0
Спасибо)))
Вас заинтересует