• Предмет: Математика
  • Автор: sasha2285467
  • Вопрос задан 8 лет назад

как решать уравнение с модулем

Приложения:

Ответы

Ответ дал: Danelya06
0

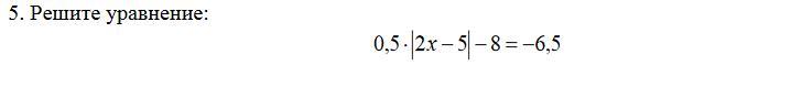
0,5•|2х-5|-8=-6,5

0,5•|2х-5|=-6,5+8

0,5•|2х-5|=1,5

|2х-5|=1,5:0,5

|2х-5|=3

1)2х-5=3

2х=3+5

2х=8

х=8:2

х=4

и

2)2х-5=-3

2х=-3+5

2х=2

х=2:2

х=1

______________________

х(первый)=4

х(второй)=1

Ответ дал: mywaifuzerotwo002
0

Ответ:

Пошаговое объяснение:

0,5•|2х-5|-8=-6,5

0,5•|2х-5|=-6,5+8

0,5•|2х-5|=1,5

|2х-5|=1,5:0,5

|2х-5|=3

1)2х-5=3

2х=3+5

2х=8

х=8:2

х=4

и

2)2х-5=-3

2х=-3+5

2х=2

х=2:2

х=1

______________________

х(первый)=4

х(второй)=1

Вас заинтересует