• Предмет: Алгебра
  • Автор: ismich
  • Вопрос задан 8 лет назад

Решите плиз. Система
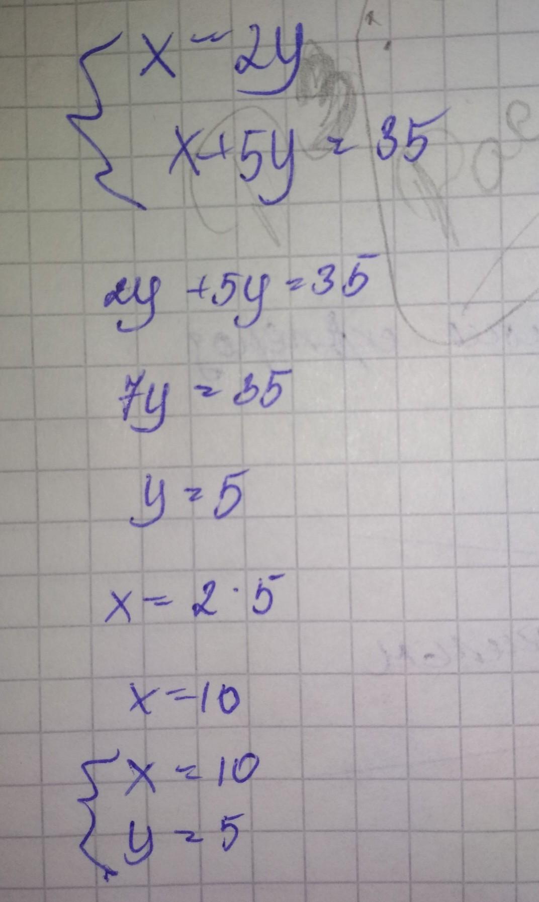
{X=2y
{x+5y=35

Ответы

Ответ дал: zumatik71
0

2y + 5y = 35

y = 5

x = 5 times 2

x = 10

y = 5 \ x = 10

Ответ дал: xxxxls
0

Вместо х во втором уравнении подставляешь х в первом

Приложения:
Вас заинтересует