• Предмет: Алгебра
  • Автор: gubkabob2009
  • Вопрос задан 8 лет назад

Решите неравенство 4(x-1)-(9x-5)≥ 7

Приложения:

Ответы

Ответ дал: kruglenkonata804
0

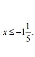
4(x-1)-(9x-5)≥ 7

4х-4-9х+5≥7

-5х≥7-1

-5х≥6

х<=-6/5

х<=- 1 1/5

Ответ дал: kruglenkonata804
0
только минус шесть пятых это неправильная дробь,а правильная - 1 1/5
Ответ дал: gubkabob2009
0
а как ты получил - 11 пятых
Ответ дал: kruglenkonata804
0
блин какие 11/5 если там 6/5
Ответ дал: kruglenkonata804
0
ответ минус одна целая одна пчтая там написано
Ответ дал: gubkabob2009
0
а ок спс просто ты написал х<=- 1 1/5 и я не понял что это 1 целая 1 пятая спс
Вас заинтересует