• Предмет: Алгебра
  • Автор: AsteriumsS
  • Вопрос задан 8 лет назад

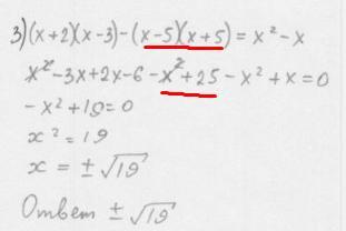
Почему не обратили внимание на минус и сразу преобразовали фсу ??

Приложения:

Ответы

Ответ дал: ChemistryLove
0

первым выполняется действие в скобках

Вас заинтересует