• Предмет: Алгебра
  • Автор: DearStefani
  • Вопрос задан 8 лет назад

Нужна помощь!!! Сравните с нулем. Пожалуйста кто-нибудь помогите

Приложения:

Ответы

Ответ дал: nafanya2014
0

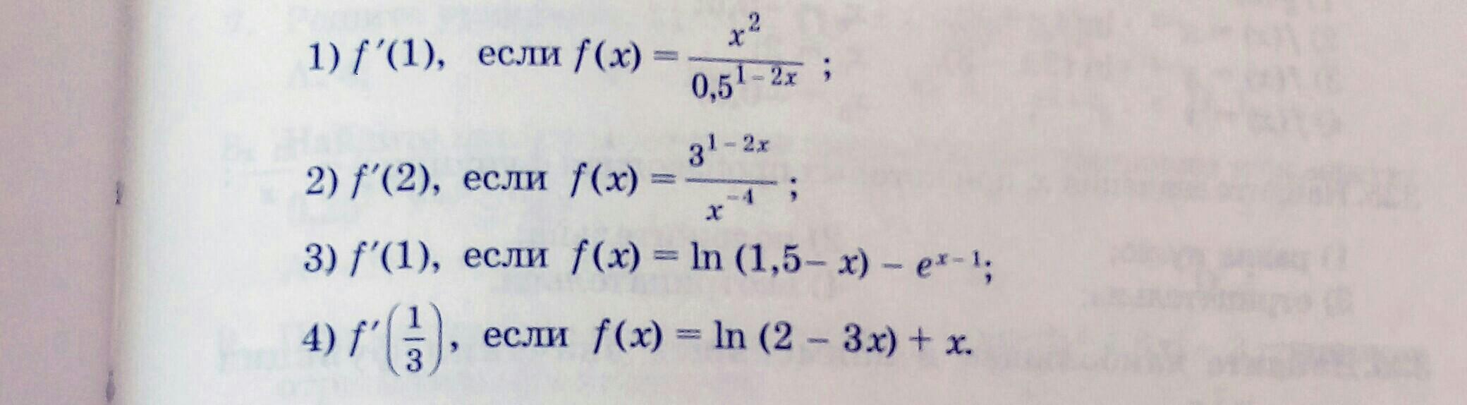
1.

Можно считать производную по формуле производная частного.

А можно записать f(x) так:

f(x)=x^{2}cdot0,5^{2x-1}

и применить правило нахождения производной произведения

f`(x)=2xcdot0,5^{2x-1}+x^{2} cdot 0,5^{2x-1}ln0,5cdot(2x-1)`=\ \= 2xcdot0,5^{2x-1}+2cdot x^{2} cdot 0,5^{2x-1}ln0,5\ \ f`(1)=2cdot 0,5^{2-1}+2cdot 1cdot0,5^{2-1}ln0,5=\ \ 1+ln0,5>0\ \ -1 =lne^{-1}=lnfrac{1}{e} < ln0,5 < 0

3.

f`(x)=frac{1}{1,5-x} cdot(1,5-x)`-e^{x-1}cdot(x-1)`=frac{1}{x-1,5} -e^{x-1}\ \f`(1)=-2-e^{0}=-2-1=-3

Вас заинтересует