• Предмет: Математика
  • Автор: Artur0406848
  • Вопрос задан 8 лет назад

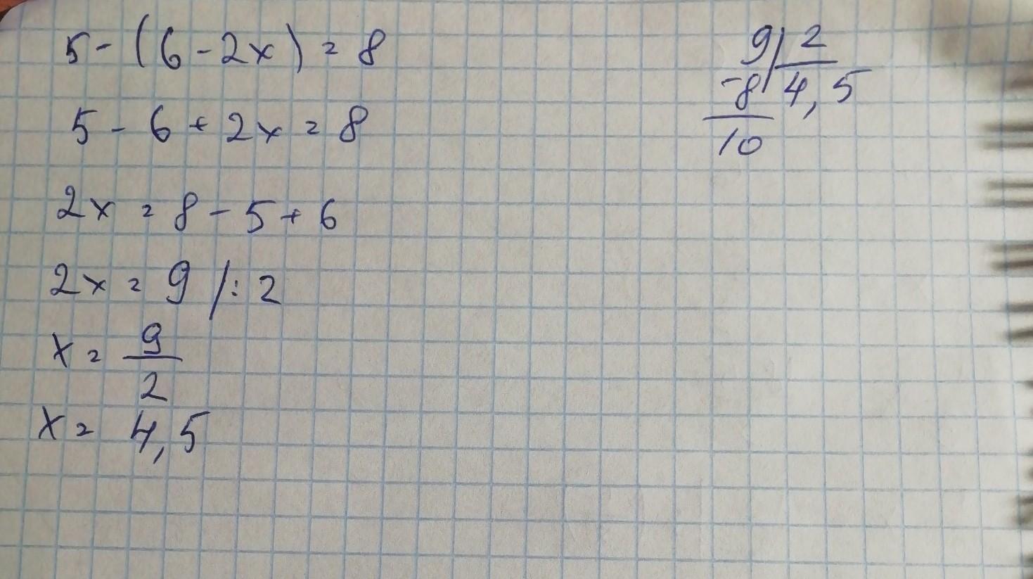
Уравнения: 1/3 × (х + 5) = 6; 0,2×(х + 5) = 6; 5 - (6 - 2х) = 8

Ответы

Ответ дал: milana6975
0

Постепенное решение уравнений

Приложения:
Ответ дал: Artur0406848
0
Спасибо
Ответ дал: krrrmrrrt
0

Вот. Вроде всё нормально должно быть

Приложения:
Ответ дал: Artur0406848
0
ты лучший(ая)
Ответ дал: krrrmrrrt
0
спасибо, солнце❤️
Вас заинтересует