• Предмет: Алгебра
  • Автор: wargaming190789
  • Вопрос задан 8 лет назад

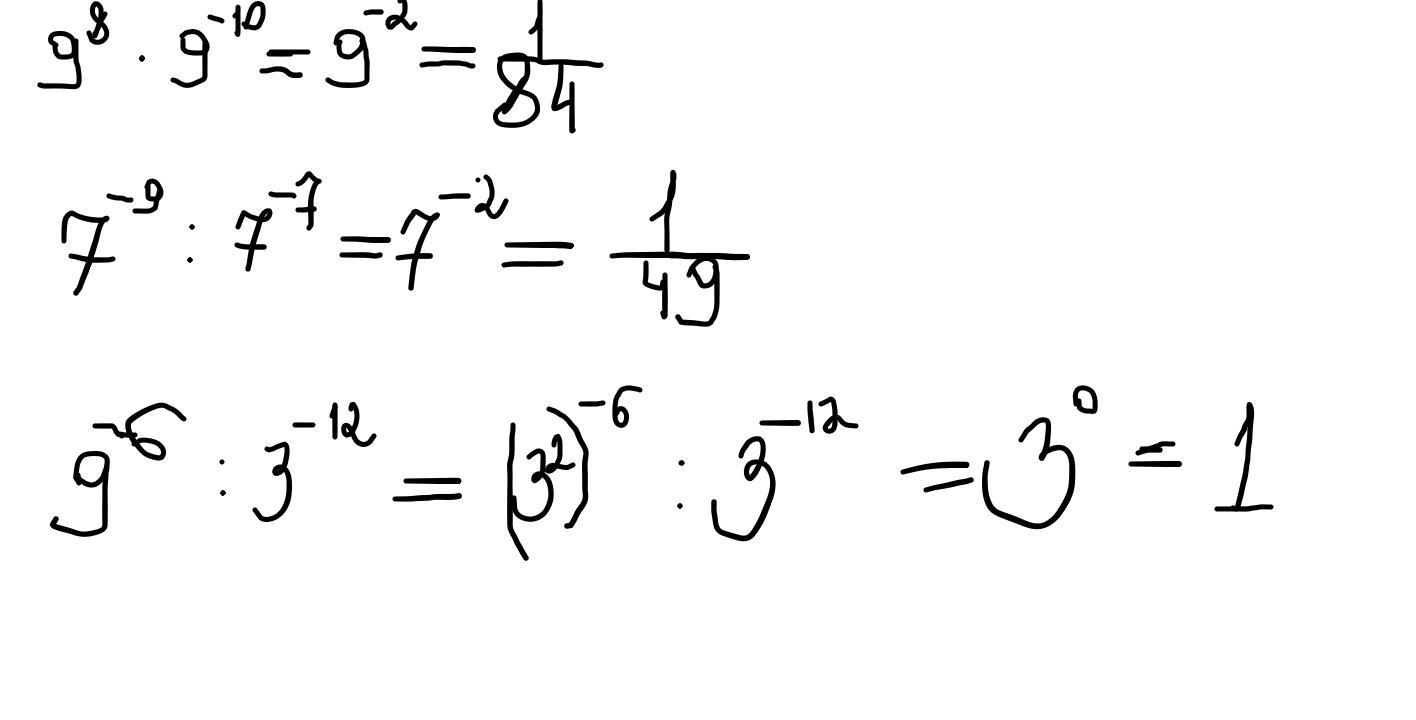
Решите пожалуйста все вложение.Не ленитесь дам 20 баллов!!!!!!!!!!!!. Кто первым решит все примеры-поблагодарю

ОТВЕТ НУЖЕН СРОЧНО!!!!!!!!

Приложения:

Ответы

Ответ дал: dahadaeva14012003
0

вот 1 задание, остальное потом сделаю, занята

Приложения:
Ответ дал: wargaming190789
0
Dahadaeva14012003 спасибо большое буду ждать. Пожалуйста не забудте! Ответы нужны сегодня!
Вас заинтересует