• Предмет: Алгебра
  • Автор: 1Tata1
  • Вопрос задан 11 лет назад

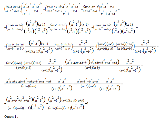
Упростить выражение (ax-ba+b - bx+ab-a) • (a^2-b^2x^2-1 : a^2+b^2x-1)

Ответы

Ответ дал: Аноним
0
Смотрите решение во вложении.............
Приложения:
Вас заинтересует