Ответы
Ответ дал:
0
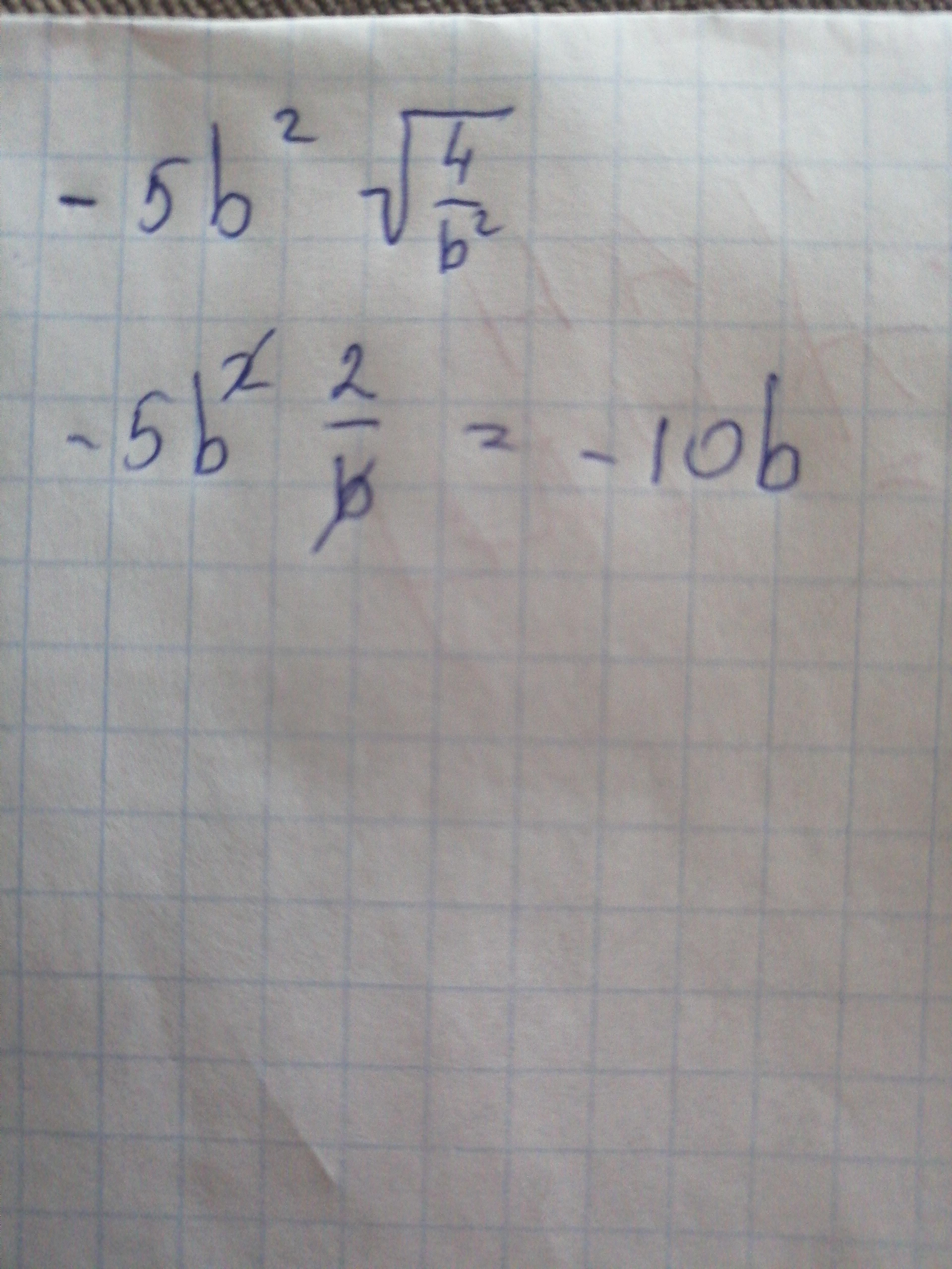
-5b^2*√4/b^2 = -5*√4*b^2 = -10*b. И так как b меньше 0, то -10*b больше 0.
Ответ дал:
0
Так. У нас b отрицательное число. Смотрим на выражение с корнем. Там b². Квадрат ЛЮБОГО числа будет положительным,поэтому мы можем спокойно выносить из под корня b. Перед корнем нас эта переменная, ну, как бы не касается. Потому что там тоже b²))
Приложения:

Вас заинтересует
3 года назад
3 года назад
8 лет назад
9 лет назад
9 лет назад