Ответы
Ответ дал:
0
Відповідь:
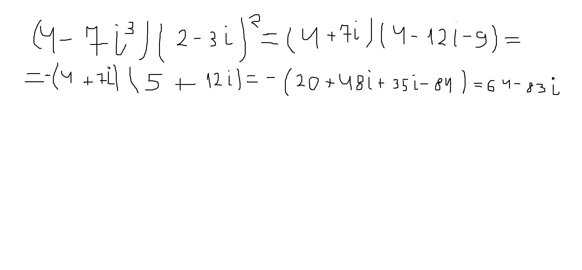
64-83*i
Покрокове пояснення:
Приложения:

Вас заинтересует
2 года назад
2 года назад
3 года назад
3 года назад
8 лет назад