• Предмет: Математика
  • Автор: tfgjjkjg1236
  • Вопрос задан 8 лет назад

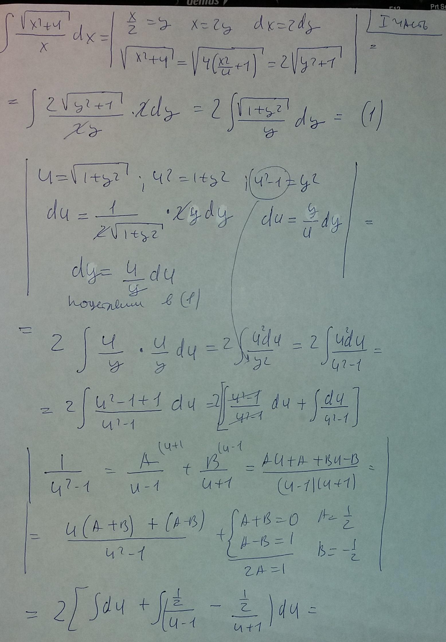
Помогите решить интеграл, срочно

√x^2+4/x

Приложения:

Ответы

Ответ дал: Bena20191
0

Ответ:

Пошаговое объяснение:

Приложения:
Вас заинтересует