• Предмет: Математика
  • Автор: nikdyzhakin06
  • Вопрос задан 8 лет назад

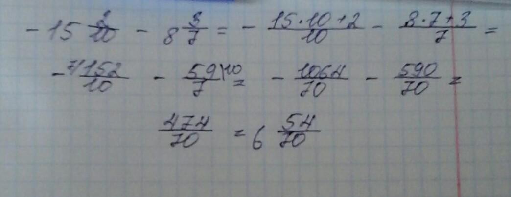
-15,2- 8 3/7 помогите решить

Ответы

Ответ дал: Аноним
0

Решение см на листочке.

Приложения:
Вас заинтересует