• Предмет: Математика
  • Автор: bogrivero
  • Вопрос задан 8 лет назад

сократите дробь.98 баллов

Приложения:

Ответы

Ответ дал: MathOrPhysics
0

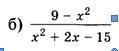
б) x ^ 2 + 2 * x - 15 = (x + 5)(x - 3)

9 - x * x = (3 - x)(3 + x) = -(x- 3)(x + 3)

Сокращаем дробь на (x - 3), получаем (-x - 3) / (x + 5)

Ответ дал: bogrivero
0
спасибо
Ответ дал: MathOrPhysics
0
Поставь лучший ответ на моё решение, пожалуйста
Ответ дал: bogrivero
0
ответ прошлого отметил как нарушение, поэтому не могу
Вас заинтересует