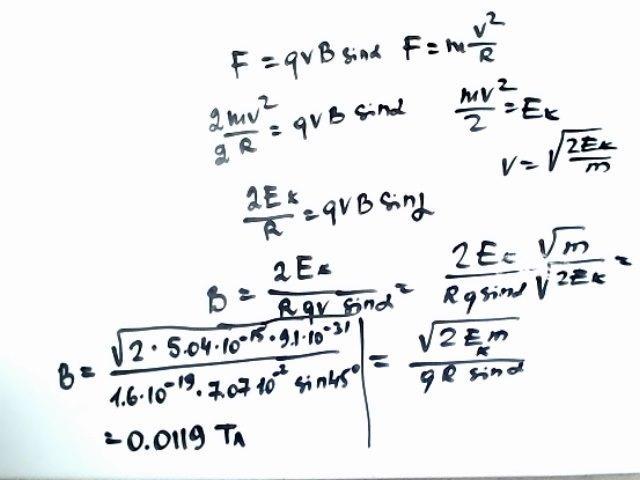
Электрон влетает в однородное магн.поле под углом 45° к направлению поля и движется по винтовой линии, радиус которой 7,07 см. Кинетическая энергия частицы Wк равна 5,04*10^-15, Найти индукцию магн.поля.
Ответы
Ответ дал:
0
Электрон влетает в однородное магн.поле под углом 45° к направлению поля и движется по винтовой линии, радиус которой 7,07 см. Кинетическая энергия частицы Wк равна 5,04*10^-15, Найти индукцию магн.поля.
Приложения:

Вас заинтересует
2 года назад
3 года назад
8 лет назад
8 лет назад
9 лет назад