• Предмет: Алгебра
  • Автор: Артур998
  • Вопрос задан 8 лет назад

Вычислить предел, используя формулу Тейлора. 25 б

Приложения:

Ответы

Ответ дал: nafanya2014
0

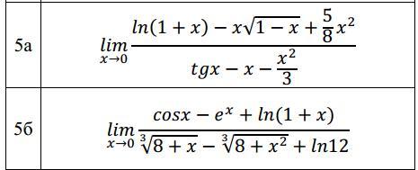
ln(1+x)=x-frac{x^2}{2}+o(x^2)\ \ sqrt{1-x}=1-frac{1}{2}x+o(x)\ \xsqrt{1-x}=x-frac{1}{2}x^2+o(x^2)\ \tgx=x+o(x^2)\ \lim_{x to 0} frac{ln(1+x)-xsqrt{1-x}+frac{5}{8}x^2}{tgx-x-frac{x^2}{3}}=lim_{x to 0}frac{x-frac{x^2}{2} -x+frac{1}{2}x^2 +frac{5}{8}x^2+o(x^2)}{x-x-frac{x^2}{3}+o(x^2)}=lim_{x to 0} frac{frac{5}{8}x^2+o(x^2)}{-frac{x^2}{3}+o(x^2}=frac{frac{5}{8} }{-frac{1}{3}}=-frac{15}{8}

cosx=1-frac{x^2}{2}+o(x^3)\ \e^{x}=1+x+frac{x^2}{2!}+o(x^2)\ \ln(1+x)=x-frac{x^2}{2}+o(x^2)\ \sqrt[3]{8+x}=2cdotsqrt[3]{1+frac{x}{8}}=2cdot (1+frac{1}{3}cdotfrac{x}{8} +frac{frac{1}{3} cdot(frac{1}{3}-1)}{2!} frac{x^2}{64}+o(x^2))\\ sqrt[3]{8+x^2}=2sqrt[3]{1+frac{x^2}{8}}=2cdot(1+frac{1}{3}cdotfrac{x^2}{8}+o(x^2))

\ \ lim_{x to 0} frac{cosx-e^{x}+ln(1+x)}{sqrt[3]{8+x}-sqrt[3]{8+x^2}+ln12}=lim_{x to 0}frac{1-frac{x^2}{2}+o(x^3)-1-x-frac{x^2}{2!}-o(x^2)+x-frac{x^2}{2}+o(x^2)}{2cdot (1+frac{1}{3}cdotfrac{x}{8} +frac{frac{1}{3} cdot(frac{1}{3}-1)}{2!} frac{x^2}{64}+o(x^2))-2cdot(1+frac{1}{3}cdotfrac{x^2}{8}+o(x^2))+ln12}=\ \=lim_{x to 0}frac{-3frac{x^2}{2}+o(x^2)}{-frac{x^2}{576}+ln12+o(x^2)}=lim_{x to 0}frac{-3cdot(-576)}{2}=864

Ответ дал: Артур998
0
Спасибо огромное, помогите пожалуйста с заданием : https://znanija.com/task/31950622
Вас заинтересует