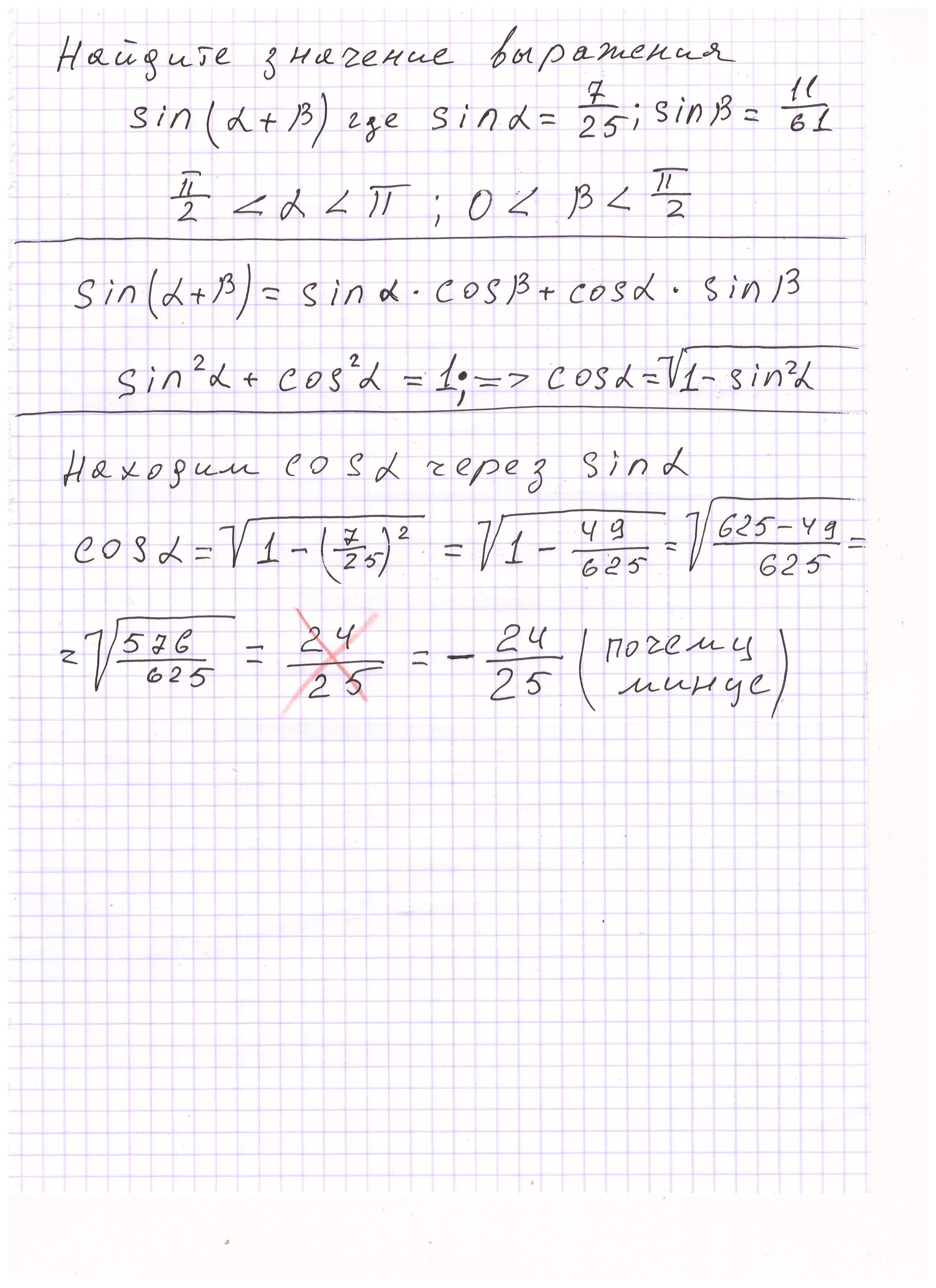
Не подскажите с тригонометрией , не могу понять почему получается отрицательное число ?
Приложения:

Ответы
Ответ дал:
0
т.к. угол находится в промежутке от п/2 до а, то соs такого угла будет всегда отрицательный. Лучше всего убедиться на построении координатных прямых
Ответ дал:
0
СПАСИБО
Вас заинтересует
2 года назад
2 года назад
3 года назад
3 года назад
9 лет назад