• Предмет: Математика
  • Автор: Аноним
  • Вопрос задан 8 лет назад

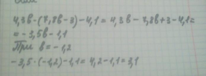
Найдите значение выражения при b=-1,2
4,3b-(7,8b-3)-4,1=

Ответы

Ответ дал: Gangster1956
0

Ответ:

Пошаговое объяснение:

Приложения:
Ответ дал: danielochka16
0

 =  - 5.16 + 12.36 - 4.1 = 3.1 =  frac{31}{10}  = 3 frac{1}{10}

Приложения:
Вас заинтересует