• Предмет: Математика
  • Автор: vovasRU
  • Вопрос задан 8 лет назад

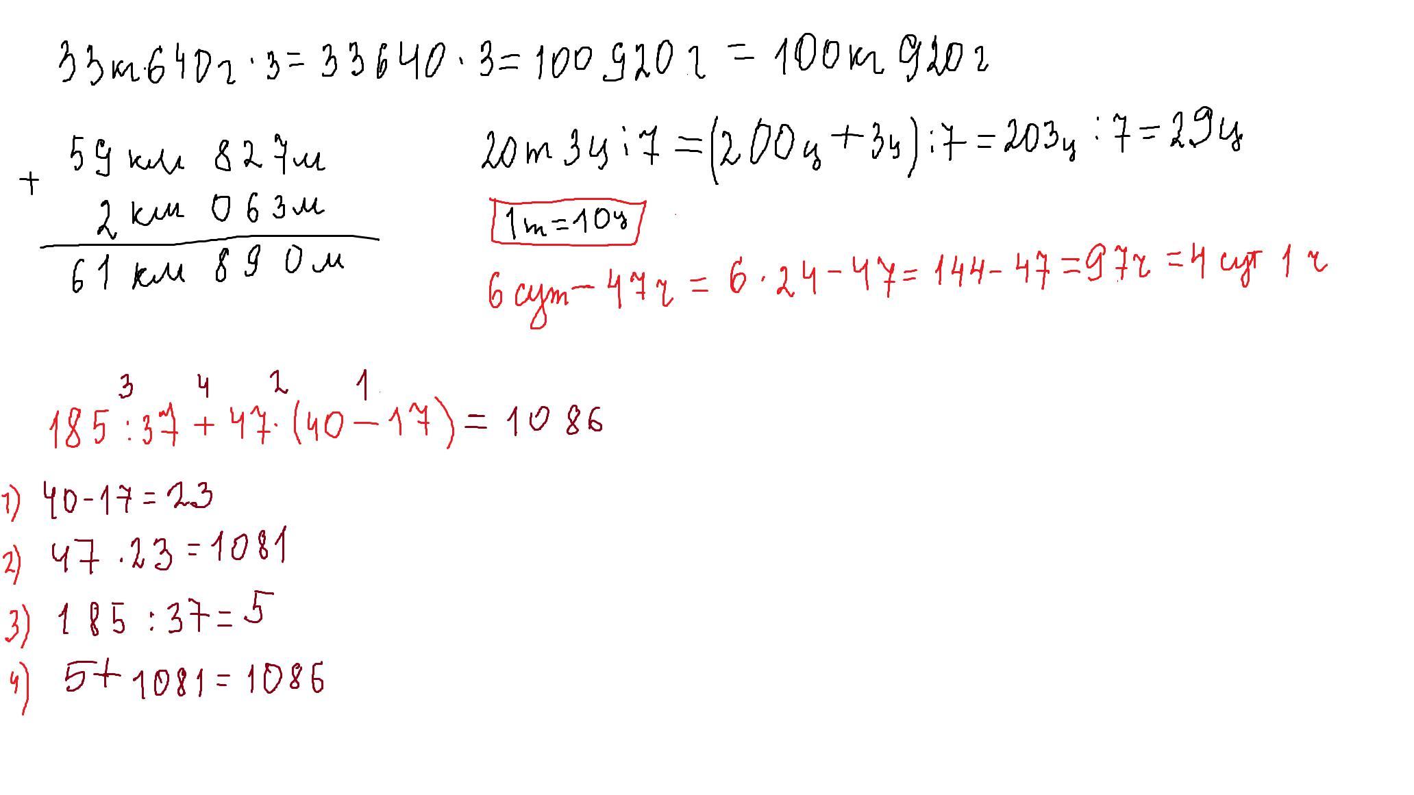
вычисли !!!!!!!! пж 4класс​

Приложения:

Ответы

Ответ дал: parus77
0

Ответ:

Пошаговое объяснение:

Приложения:
Вас заинтересует