• Предмет: Математика
  • Автор: andreyali30
  • Вопрос задан 8 лет назад

Решите пожалуйста! заранее спасибо!

Приложения:

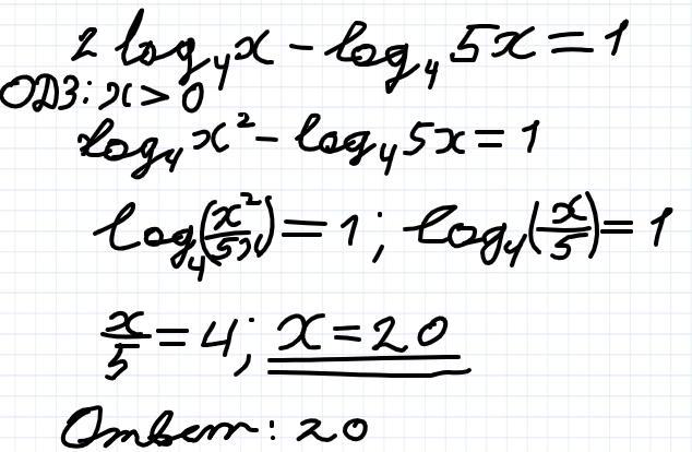
Ответы

Ответ дал: MeDi0N
0

********************************************

Приложения:
Вас заинтересует