Ответы
Ответ дал:
0
____________________
Приложения:

Ответ дал:
0
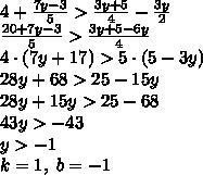
там где 20+7y-3 там снизу 6 или 5?
Ответ дал:
0
эээй
Ответ дал:
0
там 5
Ответ дал:
0
ок
Вас заинтересует
2 года назад
3 года назад
3 года назад
8 лет назад
8 лет назад
9 лет назад