Ответы
Ответ дал:
0
Ответ:
Пошаговое объяснение:
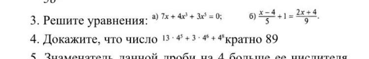
в а)ответ 0,потому что если 0 умножить или возвести в степень будет всё равно 0.б)
9(х-4)+1=5(2х+4)
9х-36+1=10х+20
-х=-15
х=-15/(-1)
х=15
Ответ дал:
0
спасибо большое
Вас заинтересует
2 года назад
2 года назад
3 года назад
3 года назад
9 лет назад
9 лет назад
10 лет назад