• Предмет: Алгебра
  • Автор: 89137420014a
  • Вопрос задан 8 лет назад

помогите!
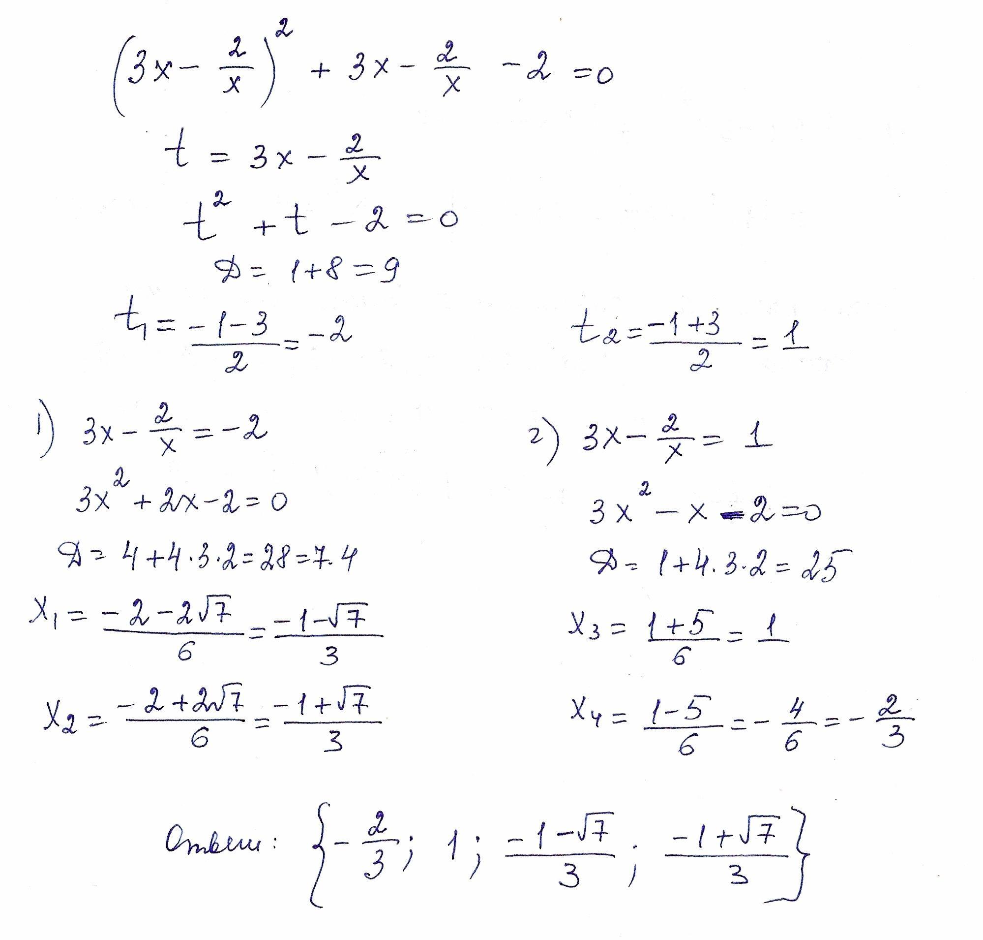
(3x-2/x)^2+3x-2/x-2=0

решить уравнение методом решения возвратного уравнения

Ответы

Ответ дал: maksimcat
0

ответ на фото\\\\\\\\\\\\\\\\\\\\\\

Приложения:
Вас заинтересует