Решите.
1. 1) (-7) ²
2) (-7)³
3) (-1/2)⁴
4) (-1/3)⁵
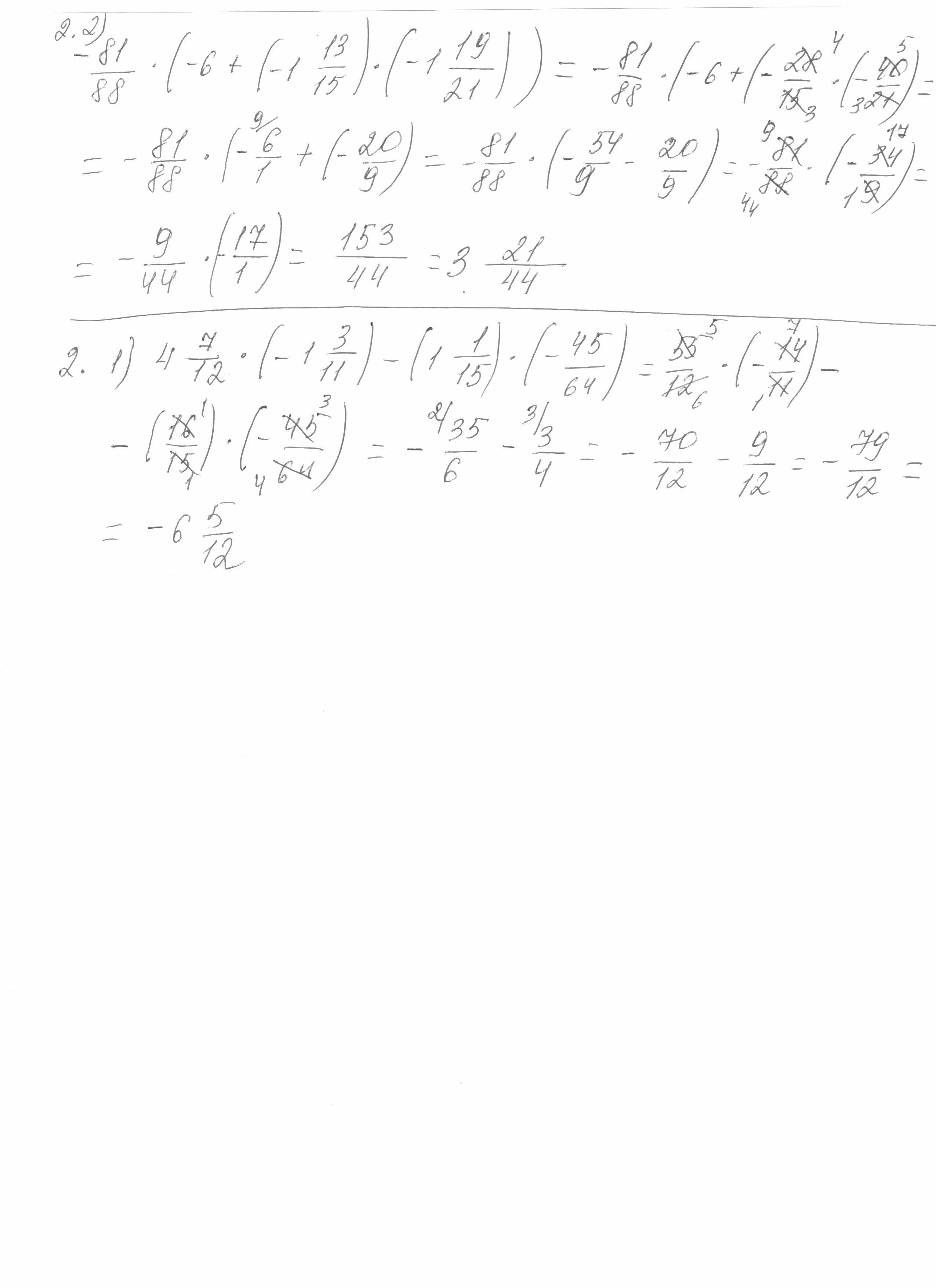
2. 1) 4 7/12*(-1 3/11)-(-1 1/15)*(-45/64)
2) -81/88*(-6+(-1 13/15)*(-1 19/21))
3. 3x-2|y-1| при x= -1, y= -4
Ответы
Ответ дал:
0
Ответ:
Пошаговое объяснение:
1. 1) (-7) ²
=49
2) (-7)³ =-343
3) (-1/2)⁴
=1/16
4) (-1/3)⁵=-1/243
Приложения:

Вас заинтересует
2 года назад
3 года назад
3 года назад
8 лет назад
8 лет назад
9 лет назад