• Предмет: Математика
  • Автор: krisvitkova
  • Вопрос задан 8 лет назад

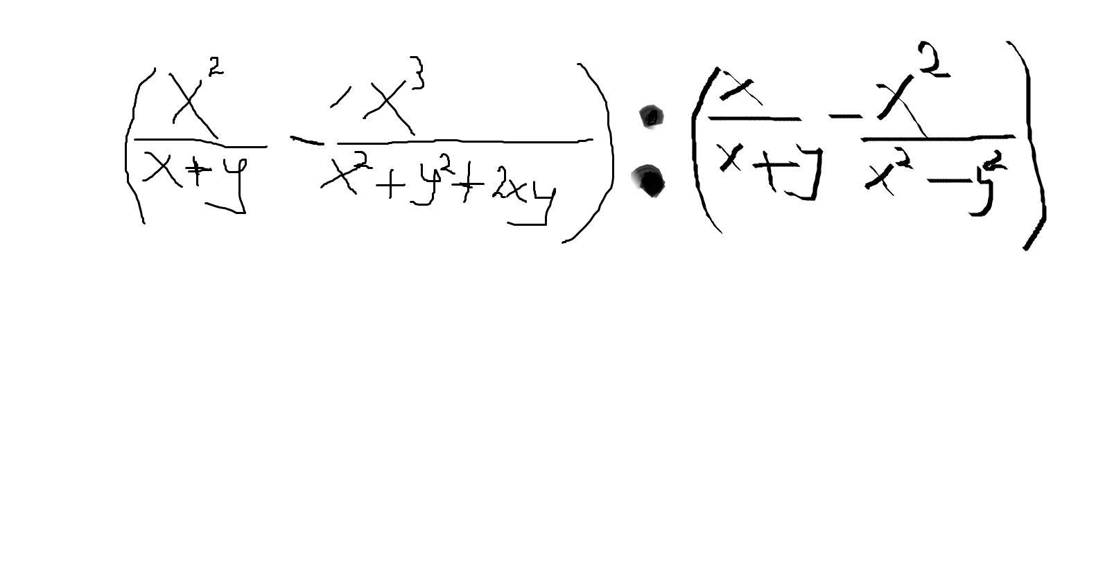
Упростите выражение и найдите значение этого выражения при x=1,8 и y=0.6

Приложения:

Ответы

Ответ дал: Bena20191
0

Ответ:

Пошаговое объяснение:

Приложения:
Вас заинтересует