• Предмет: Математика
  • Автор: MiniDen
  • Вопрос задан 8 лет назад

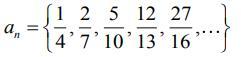
Найдите общую формулу, задающую последовательность:

Приложения:

Ответы

Ответ дал: Trover
0

frac{2^n-n}{3n+1}\\a_1=frac{2^1-1}{3cdot1+1}=frac{2-1}{3+1}=frac14\\a_2=frac{2^2-2}{3cdot2+1}=frac{4-2}{6+1}=frac27\\a_3=frac{2^3-3}{3cdot3+1}=frac{8-3}{9+1}=frac5{10}\\a_4=frac{2^4-4}{3cdot4+1}=frac{16-4}{12+1}=frac{12}{13}\dots

Вас заинтересует