• Предмет: Математика
  • Автор: seregarysich1234
  • Вопрос задан 8 лет назад

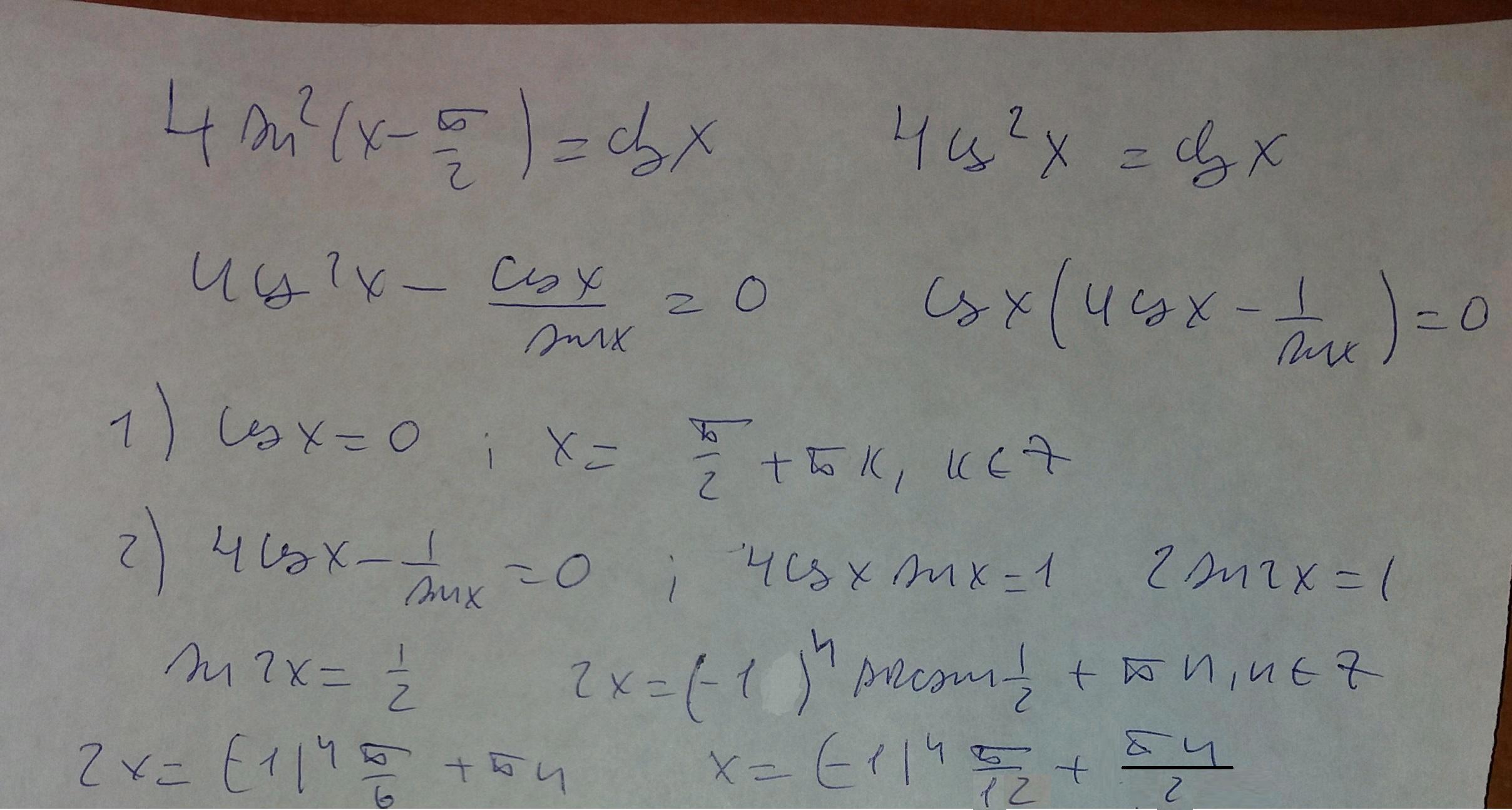
Помогите с решением 13-го задания 4sin^2(x-П/2)=ctg x

Ответы

Ответ дал: Bena20191
0

Ответ:

Пошаговое объяснение:

Приложения:
Ответ дал: Bena20191
0
исправил ошибку в последнем действии там надо делить на 2 а не умножать, спасибо за замечание
Ответ дал: matilda17562
0
И ещё одна просьба: записывайте, пожалуйста, окончательный ответ, ведь в нём две группы решений
Ответ дал: Bena20191
0
хорошо
Вас заинтересует