• Предмет: Алгебра
  • Автор: Аноним
  • Вопрос задан 8 лет назад

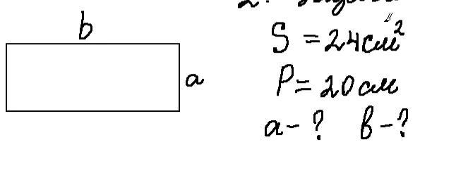
ПОМОГИТЕ ПОЖАЛУЙСТА!! Задача по алгебре.

Приложения:

Ответы

Ответ дал: mia8947
0

А=6

В=4 вот)))))))))))

Вас заинтересует