• Предмет: Математика
  • Автор: s0807
  • Вопрос задан 8 лет назад

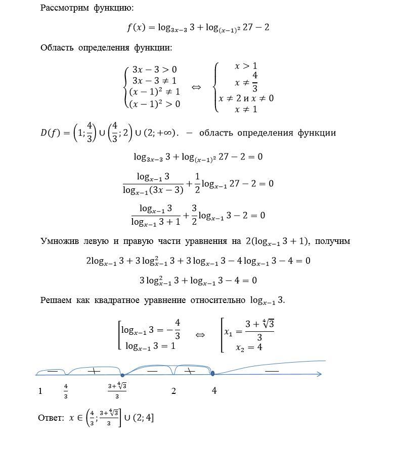
㏒(3X-3) 3+㏒((X-1)²) 27≥2

Ответы

Ответ дал: Аноним
0

Пошаговое объяснение:

Приложения:
Ответ дал: Bena20191
0

Ответ:

Пошаговое объяснение:

Приложения:
Ответ дал: s0807
0
ответ неправильный
Вас заинтересует