• Предмет: Алгебра
  • Автор: xxxlokxxx
  • Вопрос задан 8 лет назад

Помогите пожалуйста!!! Срочно надо! ​

Приложения:

Ответы

Ответ дал: svetazuna
0

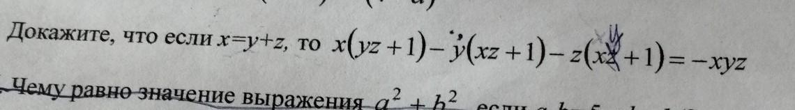
если х = у + z, то:

х(уz + 1) - у(хz + 1) - z(ху + 1) =

= (у + z)(уz + 1) - у(z(у + z) + 1) - z(у(у + z) + 1) =

= у²z + у + уz² + z  -  у²z - уz² - у  -  у²z - уz² - z =

= -  у²z - уz² = -уz*(у + z) = -уz * х = -хуz

Вас заинтересует