• Предмет: Алгебра
  • Автор: МаШа2683
  • Вопрос задан 8 лет назад

Решить уровнение х² -3х-2=0 за ранее спасибо

Ответы

Ответ дал: skyr8
0

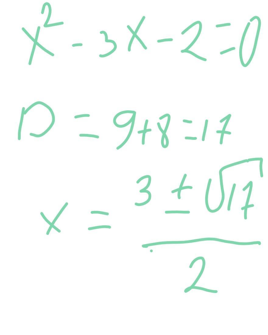
a=1

b=-3

c=-2

D=b²-4ac=9+8=17

X1,2=-b±√D/2a=3±√17/2a

Ответ дал: matilda17562
0
Опечатка: 3±√17/2a , здесь а лишнее.
Ответ дал: skyr8
0
Всмысле лишнее? Формула корней дискрименанта x=-b±√D/2a
Ответ дал: skyr8
0
Просто в данном уравнении a=1
Ответ дал: matilda17562
0
В ответе а уже содержаться не должно, а оно осталось, верно?
Ответ дал: skyr8
0
Верно
Ответ дал: onezuppi
0

все решение приведено на граффити

Приложения:
Вас заинтересует