• Предмет: Математика
  • Автор: jsjejwuujsbdjsush
  • Вопрос задан 8 лет назад

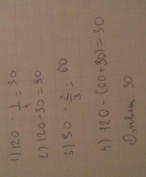
Студенту нужно решить 120 задач он решил 14 всех задач и 23 остатка.Сколько ему осталось решить?​+ краткая запись и решение

Ответы

Ответ дал: edwardroot2003
0

Первое действие находим 1/4, второе находим сколько осталось, третье остаток на 2/3, четвёртое узнаем сколько всего осталось

Приложения:
Вас заинтересует