Ответы
Ответ дал:
0
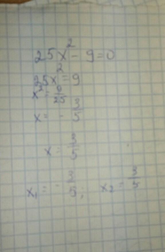
25Х2=9
Х2=9/25
Х2=0,36
Х=0,6
Ответ дал:
0
......................
Приложения:

Ответ дал:
0
25х^2=9
Ответ дал:
0
выходит х^2=9/25 дробью
Ответ дал:
0
х2=3/5 дробью
Ответ дал:
0
Ладно, спасибо) но Yazilyar первый)
Вас заинтересует
2 года назад
3 года назад
3 года назад
8 лет назад
8 лет назад
9 лет назад
9 лет назад