Ответы
Ответ дал:
0
...........................
Приложения:
Ответ дал:
0
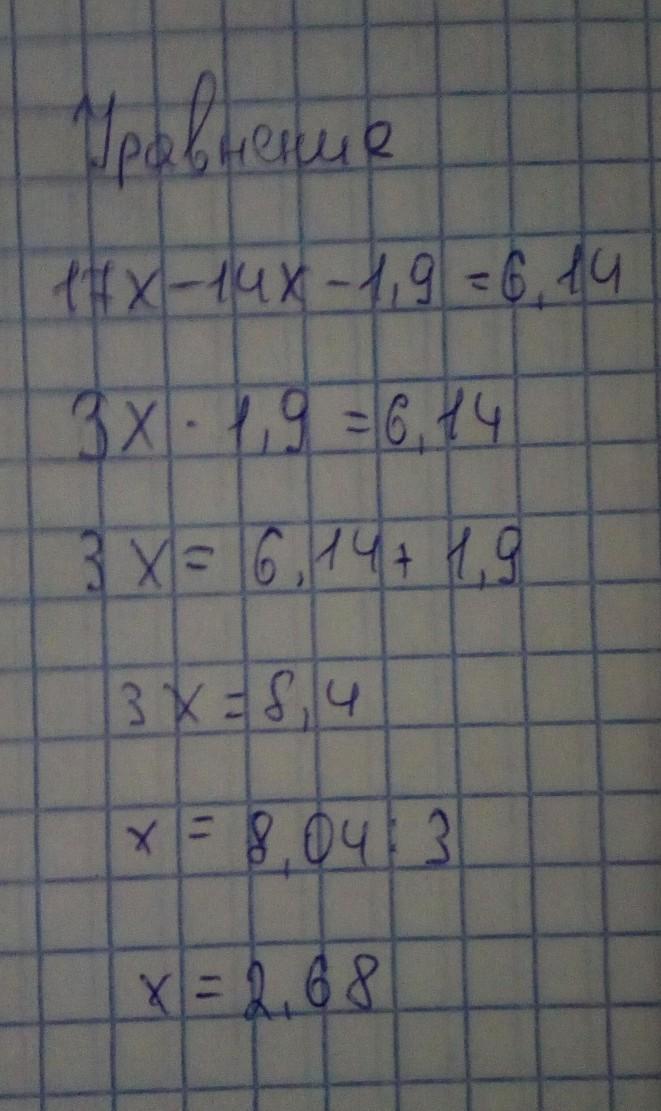
Числа с коэффициэнтом x могут друг с другом сочетаться =>
3x - 1,9 = 6,14
теперь можно перенести все известыне числа вправо, меняется знак с - на + и наобоорот:
3x = 6,14 + 1,9
3x = 8,04
И теперь берём известное число и делим на коэфициент x - получается
x = 8,03 : 3
Получается x = 2,68
3x - 1,9 = 6,14
теперь можно перенести все известыне числа вправо, меняется знак с - на + и наобоорот:
3x = 6,14 + 1,9
3x = 8,04
И теперь берём известное число и делим на коэфициент x - получается
x = 8,03 : 3
Получается x = 2,68
Приложения:
Ответ дал:
0
спасибо большое
Вас заинтересует
2 года назад
2 года назад
3 года назад
9 лет назад
10 лет назад
10 лет назад