Ответы
Ответ дал:
0
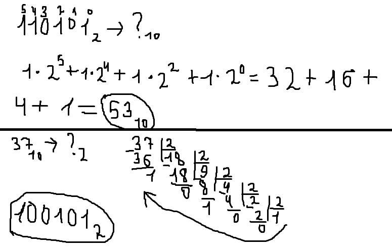
2) 110101(2) = 53(10)
3) 37(10) = 100101(2)
Приложения:

Вас заинтересует
2 года назад
3 года назад
3 года назад
8 лет назад
9 лет назад