• Предмет: Алгебра
  • Автор: Lena132431
  • Вопрос задан 8 лет назад

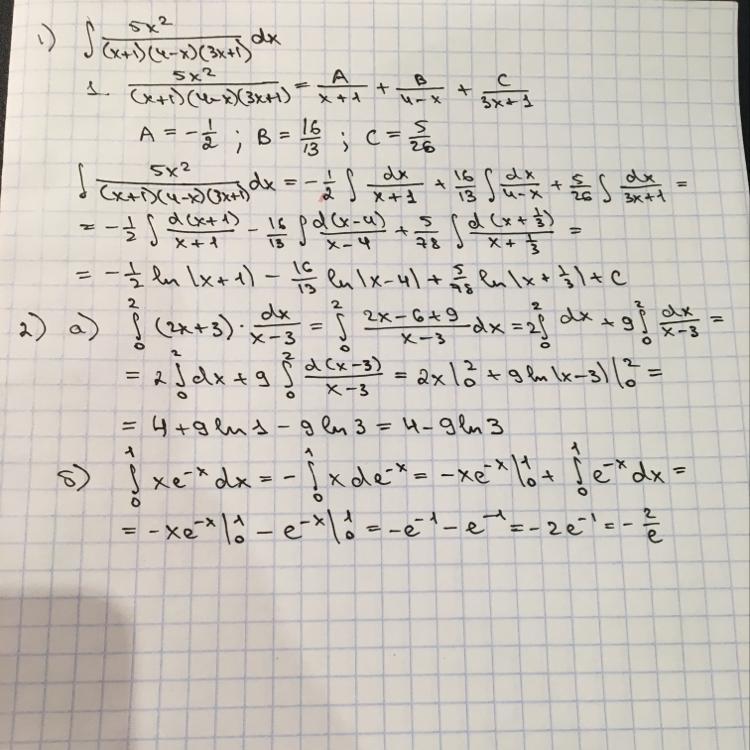
1) Вычислить интеграл, раскладывая функцию на простейшие дроби:
5x^2 dx/(x+1)(4-x)(3x+1)

2) вычислить определенные интегралы:
а) интеграл от 0 до 2 (2x+3)dx/x-3
б) интеграл от 0 до 1 xe^(-x) dx

Ответы

Ответ дал: Paul2910
0

Решение приложено к снимку:

Приложения:
Вас заинтересует