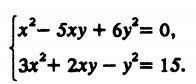
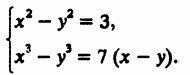
Решить систему уравнений
Возникла проблема... В первом вроде бы ничего сложного, но с ответами не сошлось... Делал замену x=yt, в итоге вышло, что t=1/2; 1/3 .
Второй вообще не пойму как выразить... Был бы очень признателен за помощь!
Приложения:


Ответы
Ответ дал:
0
Решения на картинках
Приложения:


Ответ дал:
0
в первом можно было выделить полный квадрат и использовать разность квадратов
Ответ дал:
0
(x-2y)(x-3y)=0 получается или через дискриминант x=(5y+-y)/2
Вас заинтересует
2 года назад
3 года назад
3 года назад
8 лет назад