Решите уравнение:
а) 3x^2 - |x-3| - 1 = 0
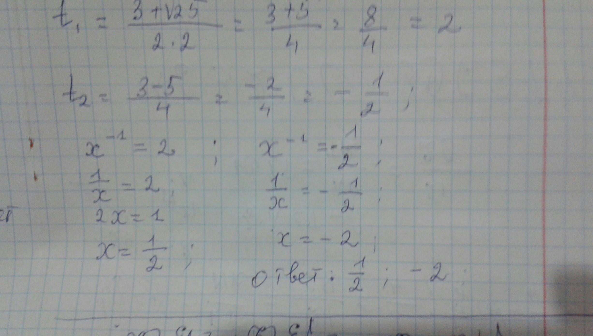
б) 2x^-2 - 3x^-1 -2 = 0
в) (x^2 - 1)^2 - 18 (x^2 -1) +45 = 0
г) (x^3 + 1)^2 - 10 (x^3 + 1) + 9 = 0
Ответы
Ответ дал:
0
.................................
Приложения:



Вас заинтересует
2 года назад
3 года назад
8 лет назад
9 лет назад