• Предмет: Математика
  • Автор: finiik2107
  • Вопрос задан 8 лет назад

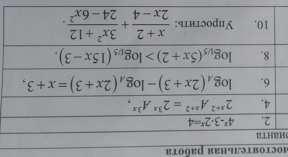
Помогите решить, самое главное поставить формулы по какой делали ​

Приложения:

Ответы

Ответ дал: tegysigalpa2012
0

Ответ:

Пошаговое объяснение:

Перевернулся пожалуста

Вас заинтересует