• Предмет: Алгебра
  • Автор: Afina0608
  • Вопрос задан 11 лет назад

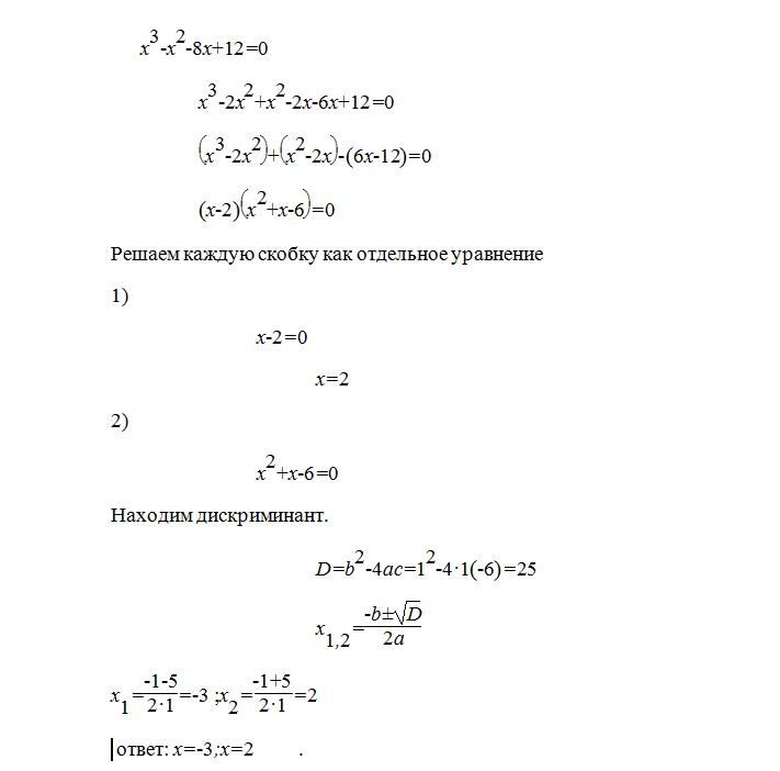
1) x^3-x^2-8x+12=0
2)  (x^2+2x)^2-(x+1)^2=55
3)  5x^4-3x^3-4x^2-3x+5=0
 Пожалуйста помогите решить алгебру!

Ответы

Ответ дал: triolana
0
==========================================
Приложения:
Вас заинтересует