• Предмет: Математика
  • Автор: linkor45
  • Вопрос задан 8 лет назад

Помогите пожалуйста решить​

Приложения:

Ответы

Ответ дал: mihan240500
0

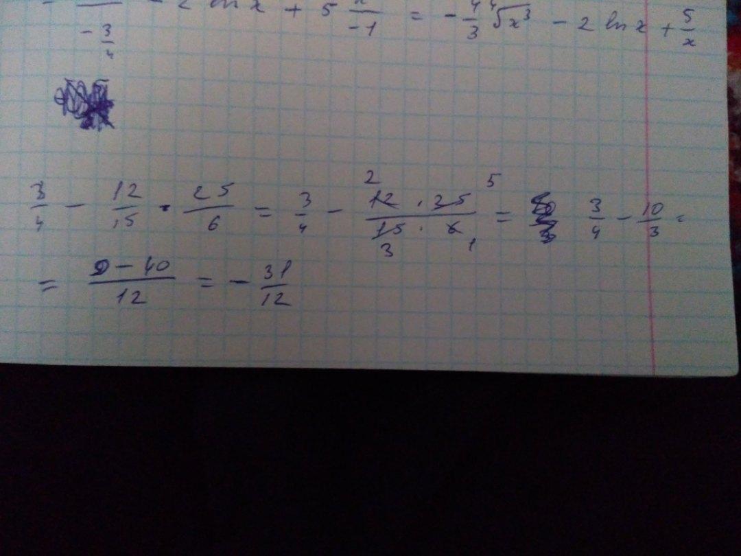
Сначала умножение, потом деление

Приложения:
Ответ дал: Fedya92
0

 frac{3}{4}  -  frac{12}{15}  times  frac{25}{6}  =  frac{3}{4}  -  frac{10}{3}  =  frac{9 - 40}{12}  =  -  frac{31}{12}
Приложения:
Вас заинтересует